L’Expansion de l’Univers est-elle confirmée par le Télescope James Webb?
Selon le modèle standard (Big Bang), l’univers n’est pas statique mais s’étend comme un ballon qu’on gonfle. Si cet espace n’est pas en expansion, le Big Bang, tel qu’on le conçoit, devient impossible. JWST, hélas, comme nous allons le voir, apporte des preuves contradictoires à cette idée de l’expansion. Le Dr Jason Lisle propose une alternative: un modèle créationniste basé sur le Doppler, qui ne repose pas sur l’expansion de l’espace mais sur un simple effet Doppler des galaxies qui s’éloignent.
Retour sur l’histoire : Einstein, FLRW et l’expansion
Récapitulons l’histoire scientifique:
- Einstein (1915-1917) a découvert que la matière courbe l’espace-temps (Relativité Générale) et que les équations permettent de modéliser l’univers.
- Dans les Années 1920, quatre physiciens (Friedmann, Lemaître, Walker, Robertson) ont proposé un modèle d’univers basé sur l’expansion ou la contraction de l’espace – le modèle FLRW.
- Hubble (1929) a découvert la relation distance-vitesse des galaxies – la loi de Hubble – en observant leur décalage vers le rouge (redshift), qu’il a interprété initialement comme un effet Doppler (comme le son d’une sirène qui s’éloigne). Ce n’était pas la même interprétation que Lemaître et les cosmologues évolutionnistes actuels.
Georges Lemaître a suggéré que le redshift n’était pas dû au simple effet Doppler mais à l’expansion de l’espace lui-même, comme la surface d’un ballon qu’on gonfle. Plus deux points sont éloignés sur le ballon, plus ils s’éloignent vite quand on le gonfle. Cette idée est devenue dominante et a conduit à la vision actuelle du Big Bang, dans laquelle l’univers serait parti d’un point de taille nulle et aurait « gonflé » (théorie de la singularité initiale).
Lisle précise que certains créationnistes acceptent le modèle FLRW pour expliquer le redshift (relation distance-vitesse) mais rejettent l’idée d’un univers né d’un point de taille nulle. En d’autres termes ils acceptent l’expansion de l’espace comme phénomène actuel mais rejettent l’idée d’un commencement à partir de rien (la « singularité » initiale du Big Bang).

Inscrivez vous sur QQLV!
Pour soutenir l’effort du ministère et la création de contenus:
Lisle (et d’autres créationnistes) rejette l’idée d’une expansion cosmique car elle est intimement liée au Big Bang, et donc à un univers ancien (13,8 milliards d’années). Elle implique une histoire progressive (étoiles, galaxies, structures qui se forment sur des milliards d’années). Accepter l’expansion, c’est souvent accepter tout le modèle standard (ΛCDM). Certes, la Bible parle plusieurs fois de Dieu qui a étendu les cieux, mais cette expansion biblique n’est probablement pas de la même nature que l’expansion évolutionniste. La création est achevée au 6ème jour et l’expansion aurait pu s’arrêter là, à moins qu’il n’y ait des raisons physiques de la maintenir dans le temps (par exemple pour éviter un effondrement gravitationnel??). Quoiqu’il en soit, il est intéressant d’étudier les données de JWST plutôt que de spéculer.
Deux modèles pour expliquer le redshift (loi de Hubble)
Lisle met en lumière deux interprétations possibles du redshift des galaxies (le fait que leur lumière soit décalée vers le rouge):
| Modèle FLRW (Big Bang) | Modèle Doppler (Créationniste proposé) | |
|---|---|---|
| Principe | L’espace lui-même s’étire (expansion de l’espace). Les galaxies restent fixes dans l’espace mais s’éloignent car l’espace grandit, comme des points sur un ballon. | Les galaxies se déplacent à travers un espace fixe (non-expansible), comme des boules de billard qui s’éloignent après le « coup ». |
| Origine du redshift | La lumière est étirée car elle traverse un espace qui s’étire. | La lumière est décalée à cause de la vitesse propre des galaxies (effet Doppler classique). |
| Conséquences | L’univers peut avoir commencé à partir d’un point (singularité). L’espace s’étend, d’où la théorie du Big Bang. | Pas de « Big Bang » classique. Les galaxies ont été créées avec des vitesses initiales, données par Dieu pour des raisons pratiques (stabilité, éviter un effondrement gravitationnel). |
Les exemples pédagogiques utilisés par Lisle sont intéressants. On a le ballon qui gonfle pour illustrer le modèle FLRW (Big Bang). Les points sont fixes sur le ballon mais s’éloignent car le ballon grossit. Et pour le modèle Doppler on a les boules de billards après un coup. Elles se déplacent dans un espace fixe, selon leur vitesse initiale, données par l’impact.
Si le modèle FLRW est correct, il implique un début (Big Bang, singularité, univers très jeune qui s’étire ensuite).
Si le modèle Doppler est correct, il n’y a pas besoin d’un Big Bang: les galaxies sont simplement « lancées » dans l’espace, et Dieu peut leur avoir donné des vitesses initiales selon son dessein.
Si on suppose un Doppler pur, on ne peut pas avoir de singularité initiale. De plus, Lisle dit que même si on remonte le temps, avec le mouvement latéral (pas seulement radial) des galaxies, elles ne se rejoindraient pas toutes en un point. Cela contredit l’image d’un Big Bang centralisé.
Lisle admet que les deux modèles donnent des résultats presque identiques pour expliquer le redshift et la loi de Hubble. Mais il indique qu’il existe deux effets d’observation qui peuvent trancher entre les deux, et que les données récentes du JWST permettent de tester cette différence.
Lisle a raison de rappeler que le redshift peut théoriquement s’expliquer par deux mécanismes différents :
- Soit l’espace s’étend,
- Soit des objets se déplacent dans un espace fixe.
Le diamètre angulaire
Lisle rappelle un principe basique de la perspective: quand un objet est plus loin, il semble plus petit. La taille angulaire (ou diamètre angulaire) est l’angle sous lequel un objet apparaît dans le ciel. Par exemple: la Lune et le Soleil ont un diamètre angulaire d’environ 0,5° vus depuis la Terre, même si le Soleil est 400 fois plus gros que la Lune — il est aussi 400 fois plus éloigné. Lune et Soleil semble donc avoir la même taille dans le ciel, ce qui permet des éclipses totales. Pour des galaxies, si une galaxie A est deux fois plus loin qu’une galaxie B de même taille physique, elle paraît deux fois plus petite en diamètre angulaire.
Sans expansion de l’espace, cette règle s’applique à toutes les distances : plus loin = plus petit.
Dans un univers expansif (modèle FLRW), la situation est différente. L’expansion de l’espace agit comme une loupe cosmique. Le résultat est contre-intuitif car pour des galaxies proches (redshift < 1,6), la taille angulaire diminue avec la distance mais pour des galaxies très lointaines (redshift > 1,6), leur taille angulaire devrait recommencer à augmenter! Pourquoi ? Parce que l’expansion « étire » la lumière et modifie la géométrie de l’espace, ce qui change la façon dont la lumière nous parvient. C’est un résultat établi et prédit par les équations de la relativité générale (GR).

Lisle montre un graphique théorique (Figure 1):
- Courbe rouge: prédictions du modèle FLRW.
- Courbe noire: prédictions du modèle Doppler (pas d’expansion : la taille diminue toujours avec la distance).
- Courbe verte: modèle « Tired Light » (Zwicky, 1929), où la lumière perd de l’énergie au fil du temps — un modèle abandonné car il prédit un flou qui n’est pas observé.
Si le modèle FLRW est correct, alors les galaxies très lointaines (redshift > 1,6) devraient apparaître plus grandes à partir d’un certain point. Si le modèle Doppler est correct, elles devraient continuer à paraître de plus en plus petites à mesure que la distance s’aggrandit. Le JWST permet désormais de tester cette différence de manière observable.
Le fait que les galaxies lointaines devraient grossir en taille angulaire dans le modèle FLRW au-delà d’un certain redshift est un point surprenant mais bien connu en cosmologie.
Si les galaxies lointaines sont plus grandes que prévu, cela confirme le modèle FLRW. Si elles restent plus petites, cela pourrait invalider le modèle FLRW et soutenir l’idée d’un modèle Doppler. Le schéma ci-dessous illustre bien les deux attentes observationnelles:

Grâce au James Webb Space Telescope (JWST), nous pouvons maintenant observer des galaxies extrêmement lointaines, jusqu’à un redshift de 20 (ce qui correspondrait à des galaxies formées seulement quelques centaines de millions d’années après le Big Bang, dans le modèle standard. On peut mesurer la taille angulaire médiane de ces galaxies à chaque redshift, et comparer ces mesures aux prédictions des modèles:
- Modèle FLRW (expansion de l’espace),
- Modèle Doppler (pas d’expansion de l’espace, simple mouvement des galaxies),
- Modèle Tired Light (lumière qui « s’épuise » en voyageant).

Les points noirs (carrés) représentent la taille angulaire médiane observée des galaxies (Hubble pour les redshifts faibles, JWST pour les plus élevés). Les barres verticales montrent la dispersion (écart-type) des tailles observées.
Les points noirs suivent parfaitement la courbe du modèle Doppler. Ils sont incompatibles avec la courbe du modèle FLRW: aucune mesure ne serait même dans une marge d’erreur d’un écart-type avec le modèle standard.
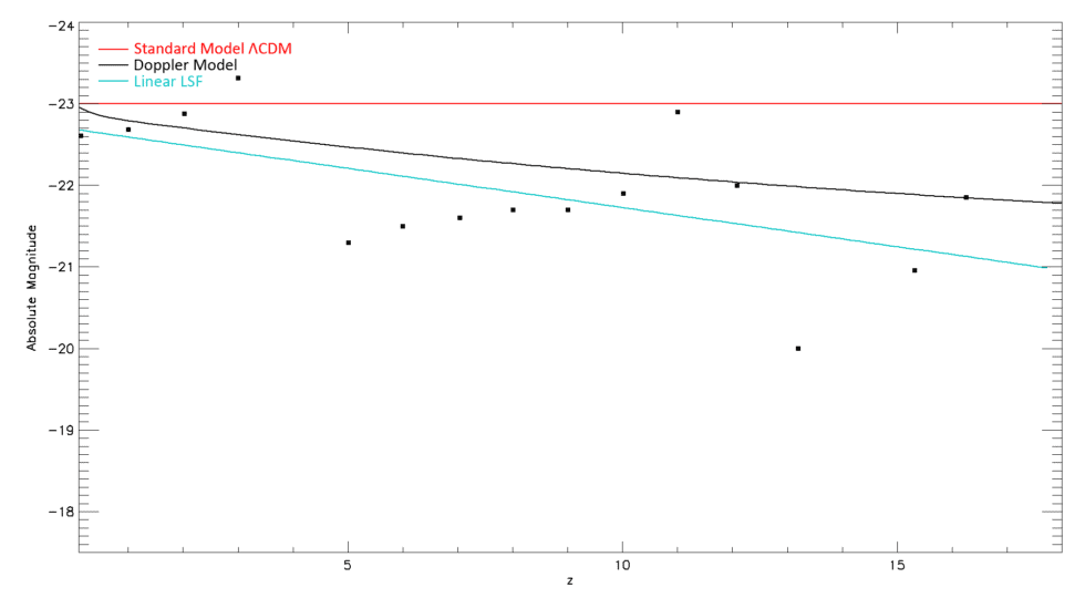
Luminosité des galaxies et modèles cosmologiques
On aborde maintenant la luminosité apparente des galaxies lointaines qui varie selon le modèle cosmologique adopté:
- Modèle FLRW (expansion de l’espace) : La luminosité apparente diminue avec la distance en raison de l’effet d’étirement de l’espace, qui dilue l’énergie des photons sur leur trajet.
- Modèle Doppler (pas d’expansion de l’espace) : Les galaxies s’éloignent à grande vitesse dans un espace statique, ce qui affecte leur luminosité apparente via l’effet de « Lorentz beaming ».
Selon le modèle Doppler, les galaxies à un redshift de 13 devraient apparaître environ 2,5 fois plus faibles (soit 1 magnitude) que ce que prédit le modèle FLRW. Jason Lisle présente un graphique (Figure 3) montrant que les observations du JWST s’alignent mieux avec les prédictions du modèle Doppler qu’avec celles du modèle FLRW.

Lisle anticipe une objection: les partisans du Big Bang pourraient argumenter que les galaxies lointaines sont intrinsèquement plus petites et moins lumineuses, ce qui expliquerait les observations sans remettre en cause l’expansion de l’espace. Il réfute cette objection en avançant que:
- Il n’existe pas de mécanisme physique connu permettant aux galaxies d’augmenter significativement en taille sans gain de masse.
- Les galaxies lointaines présentent des caractéristiques similaires aux galaxies proches en termes de masse, de forme et de composition chimique.
- Il serait improbable que l’évolution des galaxies compense précisément les effets attendus de l’expansion de l’espace sur toutes les distances.
Les galaxies lointaines n’ont pas la taille angulaire attendue dans un modèle FLRW (elles devraient apparaître plus grandes à très haut redshift, ce qui n’est pas observé), et elles n’ont pas la luminosité attendue (elles devraient être plus brillantes dans le modèle FLRW à très haut redshift, mais plus faibles selon les observations).
L’expansion de l’univers est-elle réelle?
Il est important de clarifier le modèle Doppler de Lisle. Il ne nie pas que l’univers soit en expansion au sens où les distances moyennes entre galaxies augmentent avec le temps. Mais il explique cela comme un effet de mouvement des galaxies dans un espace fixe. Autrement dit les galaxies se déplacent à travers l’espace, comme des boules de billard qui s’éloignent après un coup, sans que la « table » (l’espace lui-même) ne change.
Selon Lisle, l’expansion de l’espace elle-même (le « tissu de l’espace » ou « fabric of space ») – un concept clé de la relativité générale et du modèle FLRW – serait fausse. Autrement dit l’espace ne s’étire pas comme un ballon qui gonfle ; au lieu de cela, les galaxies bougent à travers un espace statique.
L’univers grandit au sens où les galaxies s’éloignent les unes des autres mais ce n’est pas parce que l’espace lui-même s’étire (expansion du « tissu » de l’espace). Cela s’expliquerait par un mouvement de type Doppler, dans un espace fixe.
Selon le modèle ASC (Anisotropic Synchrony Convention), il faut repenser la convention de synchronisation des horloges dans la Relativité. Dans ce modèle, la vitesse de la lumière dépend de la direction: instantanée quand elle vient vers nous (depuis les galaxies) mais plus lente dans l’autre sens. Ainsi, la lumière des étoiles pourrait nous atteindre instantanément, même si elles sont très éloignées.
Le modèle Doppler est compatible avec ASC parce que si les galaxies sont créées déjà en mouvement (modèle Doppler), et que la lumière venant vers nous voyage à vitesse instantanée (ASC), alors tout concorde : un univers jeune, des galaxies lointaines déjà en place, et leur lumière qui nous parvient sans délai.
Pourquoi le modèle standard (ΛCDM, Big Bang, FLRW, etc.) ne « meurt » jamais?
Il y a un phénomène réel et bien connu en cosmologie et plus largement en science et qui est l’élasticité interprétative des modèles dominants.
Le modèle ΛCDM (Lambda Cold Dark Matter) n’est pas une théorie unique mais un cadre global. Il intègre:
- La Relativité Générale d’Einstein,
- La matière noire et l’énergie noire (inconnues mais ajustées pour que ça colle),
- Des paramètres ajustables comme H₀ (constante de Hubble), Ω_m (densité de matière), Ω_Λ (énergie noire), etc.
Quand une observation inattendue apparaît (comme les galaxies trop brillantes, trop massives ou trop bien formées du JWST):
- On ne rejette pas le modèle.
- On ajuste un paramètre, on invente une « nouvelle physique » ou on propose des « effets d’évolution galactique » non encore compris.
- Exemple typique avec le problème de la constante de Hubble (H₀) ou plutôt que de remettre en question ΛCDM, on parle de « tension de Hubble », on ajuste des hypothèses… mais on garde le modèle global.
Les astrophysiciens ne s’attendaient pas à voir des galaxies massives, complexes et brillantes à z > 10 (moins de 500 millions d’années après le Big Bang). Mais plutôt que de dire « Ah, peut-être que le modèle du Big Bang a un problème », on dit: « Il faut revoir nos modèles de formation galactique, ajouter des scénarios d’évolution plus rapides, envisager des fusions galactiques ultra-précoces, etc. »
Il y a un conservatisme méthodologique dans la science où on préfère ajuster un modèle existant plutôt que de tout jeter pour repartir de zéro. Il y a aussi un consensus de communauté où des milliers de chercheurs travaillent dans le cadre ΛCDM. Remettre en cause le cadre exigerait un bouleversement profond (paradigme à la Thomas Kuhn).

Inscrivez-vous sur QQLV!
Pour soutenir l’effort du ministère et la création de contenus:
RECEVEZ DU CONTENU par email
Recevez du contenu biblique, archéologique et scientifique dans votre boîte mail!

